歡迎訪問北京中天恒遠環保設備有限公司官網!
咨詢熱線:010-8022-5898 手機:18610094262
-
碳酰肼 2018-01-10 [行業資訊] 熱度:341

別名:卡巴肼 分子式 CON4H6 相對分子質量:90.09 結構式 第一,性能與用途 碳酰肼為白色結晶粉末,極易溶于水,不溶于醇、醚、苯,由于它是肼的衍生物,具有很強的還原性,碳酰肼在工業中有較廣泛的用途,在水處理...
-
酸洗緩蝕劑 2018-01-10 [行業資訊] 熱度:311

第一,性能與用途 酸洗緩蝕劑屬咪唑啉類產品。在用酸清洗金屬時,加入酸洗緩蝕劑,即可抑制酸對鋼材的腐蝕。酸洗緩蝕劑應用的前提為清洗介質為鹽酸、硫酸、氨基磺酸,清洗對象的基材為黑色金屬。酸洗緩蝕劑適用于各...
-
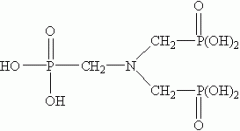
氨基三甲叉膦酸ATMP介紹(圖文) 2018-01-10 [行業資訊] 熱度:266

CAS No. 6419-19-8 別名:氨基三亞甲基膦酸、ATMPA、次氮基三亞甲基三膦酸、次氮基三亞甲基磷酸 分子式 N(CH2PO3H2)3 相對分子質量:299.05 結構式 第一,性能與用途: ATMP具有良好的螯合、低限抑制及晶格畸變作用...
-
分質供水在我國將成為必然趨勢(圖文) 2018-01-09 [行業資訊] 熱度:272

長期以來,我國城市供水系統都采用統一給水方式,即不管什么用途都按照生活飲用水標準供給。在過去經濟不發達時期,用水量不大、用途種類單一的情況下,采用這種方式是可行的。如今,優質水資源十分緊張,而水用途日...
-
中節能正式步入劉大山時代(圖文) 2018-01-09 [行業資訊] 熱度:286

12月25日,國資委官方微信發布了多家央企人事調整的信息,其中,國資委任命劉大山為中國節能環保集團公司董事長。 央企換帥,總是那么引人關注。而在中國能源體系,這半年多來已經有諸多大佬級人物發生了工作、職務...
-
工業園區污水處理工藝介紹(圖文) 2018-01-09 [行業資訊] 熱度:624

工業園區污水處理工藝 ,中天恒遠小編李德馨為您介紹,希望對您有所幫助。 第一,工程概況 某工業園區主導產業為電力、新材料、冶金、機械、紡織工業等,該園區污水處理廠設計總規模1 萬m3 /d,一期規模0.5 萬m3 /d...
-
增塑劑廢水處理(圖文) 2018-01-09 [行業資訊] 熱度:357

增塑劑廢水處理 ,中天恒遠小編李德馨為您介紹,希望對您有所幫助。 增塑荊是塑料工業必需的生產原材料,增塑劑生產廢水酸性強,有機物濃度高,且含強氧化性物質。增塑劑廢水屬高濃度有機廢水,油含量和堿含量也很高...
-
環氧氯丙烷生產廢水處理技術介紹(圖文) 2018-01-09 [行業資訊] 熱度:370

環氧氯丙烷生產廢水處理技術 ,中天恒遠小編李德馨為您介紹,希望對您有所幫助。 近年來,由于制備生物柴油時的副產物甘油產量大幅增加,許多企業開始采用甘油與氯化氫為原料合成環氧氯丙烷,但該法產生的廢水中TOC...
-
糠醛廢水(圖文) 2018-01-09 [行業資訊] 熱度:280

糠醛廢水 ,中天恒遠小編李德馨為您介紹,希望對您有所幫助。 糠醛 又名呋喃甲醛,具有類似杏仁油的氣味,是一種淡黃色的液體,在接觸空氣時,會自動氧化而變色,糖醛是目前世界上還不能用人工合成方法生產的一種基...
-
丙烯腈生產廢水處理介紹(圖文) 2018-01-09 [行業資訊] 熱度:341

丙烯腈生產廢水處理 ,中天恒遠小編李德馨為您介紹,希望對您有所幫助。 丙烯腈(AN)是一種重要的化工原料,廣泛應用于合成纖維、合成樹脂及合成橡膠等領域。2010 年我國丙烯腈的總產量達到約109 萬t,比2009 年增長...
-
廣東與國家《水十條》相對應提出了“粵十條” 2018-01-09 [行業資訊] 熱度:284

從2014年起,國家明確提出向大氣、水、土壤三大領域的污染宣戰,2014和2015年,國務院相繼頒布《氣十條》和《水十條》,此次與國家《水十條》相對應,廣東《方案》也提出了十個主要治水措施,可謂水污染防治的粵十條...
-
一體化污水處理設備特點介紹(圖文) 2018-01-08 [行業資訊] 熱度:378

一體化污水處理設備特點 ,中天恒遠小編李德馨為您介紹,希望對您有所幫助。 第一,產品應用 一體生活污水處理設備采用世界上先進的生物處理工藝,集去除BOD、COD、NH-N于一身,是目前最高效、便捷的污水處理設備。...
-
地埋式一體化污水處理設備的優缺點介紹(圖文) 2018-01-08 [行業資訊] 熱度:229

地埋式一體化污水處理設備的優缺點 ,中天恒遠小編李德馨為您介紹,希望對您有所幫助。 隨著經濟和人口的增長,對大自然的污染愈來愈受到人類的重視,在總結國內外生活污水處理裝置的運行經驗的基礎上,設計出一種可...
-
甲基橙模擬廢水吸附降解方法(圖文) 2018-01-08 [行業資訊] 熱度:415

甲基橙模擬廢水吸附降解方法 ,中天恒遠小編李德馨為您介紹,希望對您有所幫助。 印染廢水成分復雜、水質變化大、可生化性差、色度高,屬于典型的難降解有機工業廢水。偶氮染料是染料中品種及數量最多的一類,是染料...
-
甲基橙廢水處理技術介紹(圖文) 2018-01-08 [行業資訊] 熱度:864

甲基橙廢水處理技術 ,中天恒遠小編李德馨為您介紹,希望對您有所幫助。 治理的有機廢水,也是國內外廢水處理的一大難題。甲基橙是一種水溶性偶氮染料,被廣泛應用于紡織、造紙、印染、制藥和食品工業,在染料廢水中...
- 首頁
- 上一頁
- 473
- 474
- 475
- 476
- 477
- 478
- 479
- 480
- 481
- 482
- 483
- 下一頁
- 末頁
- 共 526頁7888條
服務地區:北京;天津;上海;重慶;河北;河南;云南;遼寧;黑龍江;湖南;安徽;山東;江蘇;浙江;江西;湖北;廣西;甘肅;山西;陜西;吉林;福建;貴州;廣東;青海;四川;寧夏;海南
服務地區:哈爾濱;長春;沈陽;南京;濟南;合肥;石家莊;鄭州;武漢;長沙;南昌;西安;太原;成都;西寧;?冢粡V州;貴陽;杭州;福州;臺北;蘭州;昆明;銀川;烏魯木齊;拉薩;南寧
補充分類:電廠;工業;游泳池;系統;工程;工程師;藥劑;過濾器;絮凝劑;公司;廠家;生產廠家;